Un caso de paternidad
Hemos recibido en el laboratorio una carta certificada que proviene de un juzgado, en la que nos piden una prueba pericial biológica de ADN para un procedimiento de filiación. Es decir, nos piden un diagnóstico de paternidad.
|
![]() William-Adolphe Bouguereau (1825-1905) - Maternal Admiration (1869) |
Tenemos que obtener para ello la Probabilidad de Paternidad del varón propuesto como candidato.
Con este fin, obtendremos muestras de ADN de la madre, el niño y el padre alegado y después analizaremos una serie suficientemente amplia de marcadores genéticos.
Recurriremos a la serie de marcadores más utilizada, aquella que compone el denominado sistema CODIS. Incluye 13 microsatélites, TPOX, D3S1358, FGA, D5S818, CSF1PO, D7S820, D8S1179, TH01, VWA, D13S317, D16S539, D18S51, D21S11 y el marcador amelogenina para identificar el sexo.
![]() Marcadores incluídos en el sistema CODIS |
![]() Electroferograma conjunto de todos los marcadores del sistema CODIS. Marcados con diferentes fluorocromos, pueden identificarse simultaneamente en un mismo análisis. |
Una vez citados los implicados, les tomamos con un hisopo estéril una muestra de epitelio bucal y extraemos el ADN de las células, valorando su calidad, con el fin de conocer su estado y obtener una concentración adecuada.
A continuación, amplificamos los fragmentos de ADN correspondientes a los 13 microsatélites más la amelogenina mediante la reacción en cadena de la polimerasa (PCR).
El siguiente paso consiste en la visualización de los fragmentos amplificados, mediante electroforesis capilar en un análizador genético. De este modo, obtenemos un electroferograma, que nos permite conocer el genotipo de los implicados.
El resultado obtenido ha sido el siguiente:
Para calcular la Probabilidad de Paternidad, utilizamos las frecuencias alélicas obtenidas en una muestra representativa de nuestra población. Son las siguientes:
TPOX |
D3S1358 |
FGA |
D5S818 |
CSFIPO |
D7S820 |
D8S1179 |
|||||||
|
<6 |
0,051 |
<12 |
0,05 |
<18 |
0,05 |
<7 |
0,05 |
<6 |
0,05 |
6 |
0,05 |
<9 |
0,05 |
|
6 |
0,051 |
12 |
0,05 |
18 |
0,05 |
7 |
0,05 |
6 |
0,05 |
6,3 |
0,05 |
9 |
0,05 |
|
7 |
0,051 |
13 |
0,05 |
18,2 |
0,05 |
8 |
0,05 |
7 |
0,05 |
7 |
0,05 |
10 |
0,05 |
|
8 |
0,52 |
14 |
0,16 |
19 |
0,1 |
9 |
0,05 |
8 |
0,05 |
8 |
0,17 |
11 |
0,11 |
|
9 |
0,061 |
15 |
0,34 |
19,2 |
0,05 |
9,2 |
0,05 |
9 |
0,05 |
8,1 |
0,05 |
12 |
0,07 |
|
10 |
0,092 |
15,2 |
0,05 |
19,3 |
0,05 |
10 |
0,13 |
10 |
0,28 |
8,2 |
0,05 |
13 |
0,23 |
|
11 |
0,286 |
16 |
0,15 |
20 |
0,16 |
11 |
0,37 |
10,3 |
0,05 |
9 |
0,06 |
14 |
0,29 |
|
12 |
0,051 |
17 |
0,15 |
20,2 |
0,05 |
12 |
0,26 |
11 |
0,38 |
9,1 |
0,05 |
15 |
0,21 |
|
13 |
0,051 |
17,1 |
0,05 |
21 |
0,19 |
13 |
0,18 |
11,1 |
0,05 |
9,3 |
0,05 |
16 |
0,05 |
|
>13 |
0,051 |
18 |
0,17 |
21,2 |
0,05 |
14 |
0,05 |
12 |
0,26 |
10 |
0,41 |
17 |
0,05 |
|
|
|
19 |
0,05 |
22 |
0,15 |
15 |
0,05 |
12,1 |
0,05 |
10,1 |
0,05 |
>17 |
0,05 |
|
|
|
>19 |
0,05 |
22,2 |
0,05 |
>15 |
0,05 |
13 |
0,05 |
10,3 |
0,05 |
|
|
|
|
|
|
|
22,3 |
0,05 |
|
|
14 |
0,05 |
11 |
0,17 |
|
|
|
|
|
|
|
23 |
0,21 |
|
|
15 |
0,05 |
11,3 |
0,05 |
|
|
|
|
|
|
|
23,1 |
0,05 |
|
|
|
|
12 |
0,11 |
|
|
|
|
|
|
|
23,2 |
0,05 |
|
|
|
|
13 |
0,05 |
|
|
|
|
|
|
|
23,3 |
0,05 |
|
|
|
|
14 |
0,05 |
|
|
|
|
|
|
|
24 |
0,06 |
|
|
|
|
>14 |
0,05 |
|
|
|
|
|
|
|
24,2 |
0,05 |
|
|
|
|
|
|
|
|
|
|
|
|
|
24,3 |
0,05 |
|
|
|
|
|
|
|
|
|
|
|
|
|
25 |
0,11 |
|
|
|
|
|
|
|
|
|
|
|
|
|
25,1 |
0,05 |
|
|
|
|
|
|
|
|
|
|
|
|
|
25,2 |
0,05 |
|
|
|
|
|
|
|
|
|
|
|
|
|
25,3 |
0,05 |
|
|
|
|
|
|
|
|
|
|
|
|
|
26 |
0,05 |
|
|
|
|
|
|
|
|
|
|
|
|
|
26,2 |
0,05 |
|
|
|
|
|
|
|
|
|
|
|
|
|
27 |
0,05 |
|
|
|
|
|
|
|
|
|
|
|
|
|
27,2 |
0,05 |
|
|
|
|
|
|
|
|
|
|
|
|
|
28 |
0,05 |
|
|
|
|
|
|
|
|
|
|
|
|
|
29 |
0,05 |
|
|
|
|
|
|
|
|
|
|
|
|
|
30 |
0,05 |
|
|
|
|
|
|
|
|
|
|
|
|
|
>30 |
0,05 |
|
|
|
|
|
|
|
|
|
THO1 |
VWA |
D13S317 |
D16S539 |
D18S51 |
D21S11 |
||||||
|
<5 |
0,05 |
11 |
0,05 |
<8 |
0,05 |
<8 |
0,008 |
<11 |
0,05 |
<24.2 |
0,05 |
|
5 |
0,05 |
12 |
0,05 |
8 |
0,32 |
8 |
0,018 |
11 |
0,05 |
24,2 |
0,05 |
|
6 |
0,2 |
13 |
0,05 |
8,1 |
0,05 |
9 |
0,113 |
12 |
0,24 |
24,3 |
0,05 |
|
7 |
0,09 |
14 |
0,08 |
9 |
0,05 |
10 |
0,056 |
13 |
0,08 |
25 |
0,05 |
|
8 |
0,11 |
15 |
0,12 |
10 |
0,05 |
11 |
0,321 |
13,2 |
0,05 |
25,2 |
0,05 |
|
8,3 |
0,05 |
16 |
0,25 |
11 |
0,27 |
11,3 |
0,008 |
14 |
0,12 |
26 |
0,05 |
|
9 |
0,21 |
17 |
0,32 |
12 |
0,2 |
12 |
0,326 |
14,2 |
0,05 |
26,2 |
0,05 |
|
9,3 |
0,37 |
18 |
0,16 |
13 |
0,12 |
13 |
0,146 |
15 |
0,09 |
27 |
0,05 |
|
10 |
0,05 |
19 |
0,05 |
13,3 |
0,05 |
14 |
0,02 |
15,2 |
0,05 |
28 |
0,05 |
|
>10 |
0,05 |
20 |
0,05 |
14 |
0,05 |
15 |
0,008 |
16 |
0,11 |
28,2 |
0,05 |
|
|
|
21 |
0,05 |
15 |
0,05 |
|
|
16,2 |
0,05 |
29 |
0,3 |
|
|
|
>21 |
0,05 |
>15 |
0,05 |
|
|
17 |
0,2 |
29,2 |
0,05 |
|
|
|
|
|
|
|
|
|
18 |
0,05 |
29,3 |
0,05 |
|
|
|
|
|
|
|
|
|
19 |
0,05 |
30 |
0,29 |
|
|
|
|
|
|
|
|
|
20 |
0,05 |
30,2 |
0,05 |
|
|
|
|
|
|
|
|
|
20,2 |
0,05 |
30,3 |
0,05 |
|
|
|
|
|
|
|
|
|
21 |
0,05 |
31 |
0,06 |
|
|
|
|
|
|
|
|
|
21,2 |
0,05 |
31,1 |
0,05 |
|
|
|
|
|
|
|
|
|
22 |
0,05 |
31,2 |
0,05 |
|
|
|
|
|
|
|
|
|
>22 |
0,05 |
32 |
0,05 |
|
|
|
|
|
|
|
|
|
|
|
32,1 |
0,05 |
|
|
|
|
|
|
|
|
|
|
|
32,2 |
0,12 |
|
|
|
|
|
|
|
|
|
|
|
32,3 |
0,05 |
|
|
|
|
|
|
|
|
|
|
|
33 |
0,05 |
|
|
|
|
|
|
|
|
|
|
|
33,1 |
0,05 |
|
|
|
|
|
|
|
|
|
|
|
33,2 |
0,12 |
|
|
|
|
|
|
|
|
|
|
|
33,3 |
0,05 |
|
|
|
|
|
|
|
|
|
|
|
34 |
0,05 |
|
|
|
|
|
|
|
|
|
|
|
34,1 |
0,05 |
|
|
|
|
|
|
|
|
|
|
|
34,2 |
0,05 |
|
|
|
|
|
|
|
|
|
|
|
35 |
0,05 |
|
|
|
|
|
|
|
|
|
|
|
35,2 |
0,05 |
|
|
|
|
|
|
|
|
|
|
|
36 |
0,05 |
|
|
|
|
|
|
|
|
|
|
|
>36 |
0,05 |
El Indice de Paternidad (PI) se calcula para cada marcador, según las combinaciones genotípicas, de acuerdo al siguiente cuadro:
De acuerdo con la tabla, si la madre, el hijo y el padre alegado son homocigotos para el mismo alelo (linea 1), el Indice se calculará como 1/p, donde p es la frecuencia del alelo para el que son homocigotos. Si por el contrario los 3 son heterocigotos para la misma combinación alélica (linea 4), el Indice se calculará como 1/(p+q).
Una vez calculado el Indice de Paternidad para los 13 microsatélites, calculamos el Indice de Paternidad Combinado (CPI) como el producto de todos ellos:

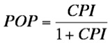
Y finalmente la Probabilidad de Paternidad (POP) como:
Los cálculos que hemos de hacer son los siguientes:
| STR | Fórmula nº | Fórmula | Fórmula | Resultado |
| TPOX | 1 | 1/(p) | 1/(0,286) | 3,50 |
| D3S1358 | 8 | 1/(q) | 1/(0,16) | 6,25 |
| FGA | 11 | 1/(2*r) | 1/(2*0,19) | 2,63 |
| D5S818 | 6 | 1/(p+q) | 1/(0,37+0,18) | 1,82 |
| CSFIPO | 3 | 1/(2*q) | 1/(2*0,05) | 10,00 |
| D7S820 | 11 | 1/(2*r) | 1/(2*0,17) | 2,94 |
| D8S1179 | 11 | 1/(2*r) | 1/(2*0,23) | 2,17 |
| TH01 | 14 | 1/(2*r) | 1/(2*0,09) | 5,56 |
| VWa | 12 | 1/2*(p+r) | 1/2*(0,08+0,25) | 1,52 |
| D13S317 | 9 | 1/r | 1/0,12 | 8,33 |
| D16S539 | 2 | 1/(2*p) | 1/(2*0,056) | 8,93 |
| D18S51 | 13 | 1/(2*q) | 1/(2*0,11) | 4,55 |
| D21S11 | 4 | 1/(p+q) | 1/(0,05+0,05) | 10,00 |
| Índice de paternidad combinado | 191077037,3 | |||
| Probabilidad de paternidad | 0,999999995 |
Una vez realizados todos los cálculos, emitimos un informe similar a este:

Debe quedar claro que nosotros emitimos un informe. Es una prueba pericial, no un veredicto. La decisión última corresponde en exclusiva al juez.
@Jose A. Peña, 2025