En un estudio en el que han participado investigadores del Nano-Bio Spectroscopy Group de la UPV/EHU, liderado Ángel Rubio, han desarrollado una nueva ruta para producir carbino (cadenas de carbono infinitamente largas, cuyas propiedades mecánicas superan a las del diamante y del grafeno), utilizando nanotubos de pared doble como protector de la cadena, debido a que esta es extremadamente inestable en condiciones ambientales. Los resultados de la investigación han sido publicados en la revista Nature Materials.
-
La EHU, entre las mejores universidades de Europa en estudios de ingeniería
-
Guillermo Ruiz Irastorza: «El médico cura a veces, alivia a menudo y acompaña siempre»
-
Un estudio de Carlos Matute logra el segundo puesto mundial en el Top Altmetric de Nature
-
Venezuela en la geopolítica del imperialismo
-
Haciendo deporte en el polideportivo
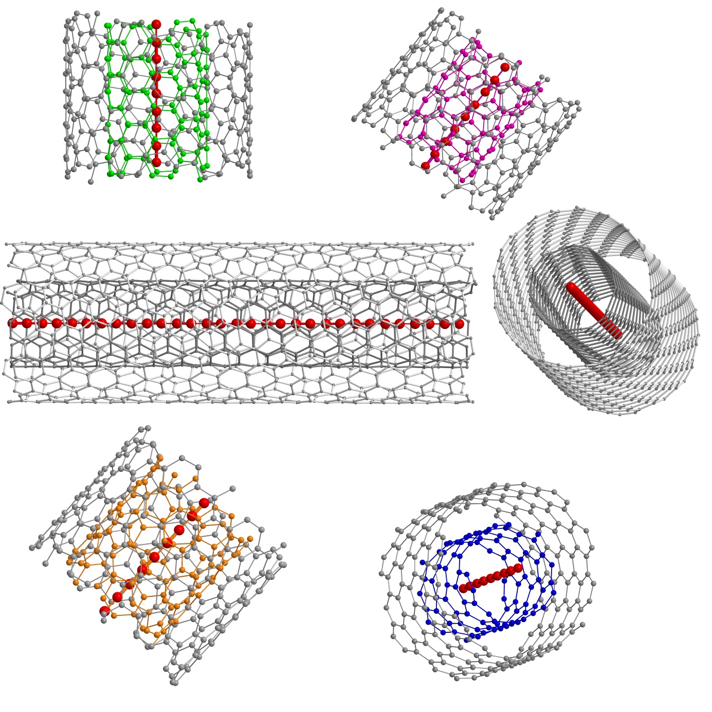
Sintetizadas, por primera vez, cadenas de carbono unidimensionales ultralargas
Investigadores de un estudio internacional en el que ha participado la UPV/EHU han estabilizado cadenas de más de 6.400 átomos de carbono con nanotubos de pared doble
- Investigación
Fecha de primera publicación: 12/04/2016
El carbono elemental se manifiesta en múltiples formas, algunas de ellas muy conocidas y estudiadas: diamante, grafito, grafeno, fullerenos, nanotubos y carbino. Dentro de esta "familia del carbono", el carbino (una estructura de carbono perfectamente unidimensional) es el único que no había sido sintetizado hasta el momento, a pesar de haber sido investigado durante más de 50 años. Químicos orgánicos de todo el mundo han tratado de sintetizar cadenas de carbino cada vez más largas utilizando agentes estabilizadores, y, de hecho, la cadena más larga obtenida hasta el momento (obtenida en 2010) era de 44 átomos de carbono.
Un grupo de investigación de la Universidad de Viena, liderado por el Profesor Thomas Pichler, ha presentado una nueva y simple vía para estabilizar cadenas de carbono con una longitud record de más de 6.400 átomos de carbono. Han mejorado, de esta manera, el record anterior en más de dos órdenes de magnitud. Para ello, han utilizado el espacio confinado dentro de un nanotubo de carbono de pared doble, como nanoreactor, para hacer crecer cadenas de carbono ultralargas, que, además, confiere una gran estabilidad a las mismas. Esta estabilidad es de suma importancia para futuras aplicaciones.
Confirmada la existencia
El trabajo llevado a cabo en colaboración por varios grupos de investigación de gran prestigio a nivel mundial, entre los que se encuentra el grupo de investigación de la UPV/EHU Nano-Bio Spectroscopy Group, dirigido por el catedrático Ángel Rubio, ha confirmado inequívocamente la existencia de estas cadenas, mediante ensayos tanto estructurales como ópticos. Los investigadores han presentado su estudio en la última edición de la prestigiosa revista científica Nature Materials. En opinión de los investigadores, la prueba experimental directa de las cadenas de carbono ultralargas confinadas, que son dos órdenes de magnitud más largas que las anteriormente probadas, constituye un avance prometedor en el objetivo final de obtención de cadenas de carbono perfectamente lineales.
Estudios teóricos muestran que tras hacer crecer estas cadenas lineales dentro de un nanotubo de carbono, el sistema híbrido resultante podría tener un carácter metálico debido a la transferencia de carga desde los nanotubos de carbono hacia la cadena, aunque tanto el nanotubo como la cadena son semiconductores en vacío. Por lo tanto, es posible controlar las propiedades electrónicas de este sistema híbrido. Por consiguiente, este nuevo sistema, además de ser muy interesante desde el punto de vista químico, podría ser muy importante en el campo de los nanodispositivos.
Según modelos teóricos, el carbino tiene unas propiedades mecánicas que no se pueden comparar con las de ningún otro material conocido, ya que supera incluso las propiedades de resistencia mecánica y flexibilidad del grafeno y del diamante. Además, sus propiedades electrónicas sugieren nuevas aplicaciones nanoelectrónicas, como, por ejemplo, en el desarrollo de nuevos semiconductores magnéticos, baterías de alta densidad de carga o en el transporte de spin cuántico (spintrónica). Sin embargo, los investigadores apuntan que, para ello, se deberían extraer estas cadenas de carbono lineales ultralargas del nanotubo de pared doble que las contiene, y estabilizarlas en un medio líquido.
Información complementaria
La investigación ha sido llevada a cabo en colaboración de varios grupos de investigación de diversas entidades: Universidad de Viena, AIST (Japón), ETH Zurich, Nano-bio Spectroscopy Group (UPV/EHU) y Max Planck Institute for the Structure and Dynamics of Matter (Hamburgo).
El grupo de investigación Nano-bio Spectroscopy Group está liderado por Ángel Rubio, catedrático de la UPV/EHU, miembro del Departamento de Ciencia de los Materiales, y director del departamento de Teoría del Max Planck Institute for the Structure and Dynamics of Matter. La actividad del grupo está enfocada a la investigación teórica y modelización de propiedades electrónicas y estructurales de la materia condensada, así como al desarrollo de nuevas herramientas teóricas y códigos computacionales para investigar la respuesta electrónica de los sólidos y nanoestructuras frente a campos electromagnéticos externos.
Referencia bibliográfica
L. Shi, P. Rohringer, K. Suenaga, Y. Niimi, J. Kotakoski, J. C. Meyer, H. Peterlik, M. Wanko, S. Cahangirov, A. Rubio, Z. J. Lapin, L. Novotny, P. Ayala, T. Pichler. "Confined linear carbon chains as a route to bulk carbyne". Nature Materials, vol.15, mayo 2016. http://dx.doi.org/ 10.1038/NMAT4617.
Foto: UPV/EHU.
